特色

What is Social Media Analytics?

Social media analytics (SMA) refers to the process of collecting data from social media sites and blogs as well as forums and then figuring out meaning in data gathered from these social channels to provide some supports when making business decisions. And social media analytics also includes evaluating the performance of actions based on those decisions through social media.

And it should be pointed out that Social media analytics is not only the usual monitoring or a basic analysis of retweets, ‘likes’, follows or something like that, it’s a much more complicated and comprehensive process which is in order to figure out some in-depth ideas of social consumers. It is essentially an interdisciplinary area involving both humanities and technologies which is far more than only data mining and statistical analysis. As written on Wikipedia: Social media analytics is also defined as, “the art and science of extracting valuable hidden insights from vast amounts of semi-structured and unstructured social media data to enable informed and insightful decision making.”[1] I think it’s a pretty apt description, social media analytics helps marketers and some related people mine the sentiments of consumers behind all kinds of social media data to make some business decisions.

And there are roughly three steps in social media analytics:

  1. Data identification: data identification refers to the process of extracting relevant data from the collected data which contains irrelevant data and noisy data so that the analysts are able to interpret the data more efficiently in the next stages.
  2. Data analysis: data analysis refers to a set of activities that transforms the raw data into some valuable and meaningful information which can offer some help for the analysts to make business decisions.
  3. Information interpretation: information interpretation is to visualize the data obtained in the second stage as graphic charts so that non-technical people can understand the meaning of the data and use it for business decisions.

Reference

[1] https://en.wikipedia.org/wiki/Social_media_analytics

Course Participation Evaluated by Social Media Analysis

Finally, it comes to the end of the semester and this is also my last post. Before this, I have published three posts in this semester with each of them commented by several classmates. At the same time, I also have left my comments below the posts of several classmates. After that, I conducted sentiment analysis and social network analysis of these comments in two python programming assignments respectively. In this post, I intend to use the results of these two assignments to evaluate my course participation and make a conclusion.

First of all, I want to briefly explain the principles of sentiment analysis and social network analysis as well as the meaning of some of the parameters inside these analyses.

Sentiment Analysis

So, what is sentiment analysis? To put it simply, sentiment analysis is the practice of quantifying people’s opinions through natural language processing (NLP) and text analysis based on text information published on the Internet. And these text information usually come from major social media platforms like Facebook, Twitter and Instagram. Many companies generally use sentiment analysis to investigate people’s attitudes about their products.

In the first assignment, we were required to perform dictionary-based sentiment analysis on all the comments we receive from our classmates. Firstly, I used two files that containing positive and negative words respectively to train a classifier, this classifier can classify the words that have appeared in the two files into class “pos” and class “neg” represent positive words and negative words respectively. And then, I stored all the received comments in a text file and then split the file into some individual words in a word list using tokenization function of the NLTK library. In other words, I use the words (unigrams) as linguistics features to represent the original file. After using the word list represented the received comments to fit the classifier I can get my “pos” and “neg” value of the received comments, which represented the number of positive words and negative words in the received comments respectively. Finally, my score can be calculated through formula① (where N represents the number of features in the word list) and from formula② I can learn classmates’ general opinion on my posts (positive or negative).

Social Network Analysis

A social network consists of nodes (individual actors, people, or things within the network) and the links (relationships or interactions between the nodes) that connect them. The goal of social network analysis (SNA) is to investigate social structures through social networks using network theories.[1]

In the second assignment, our task is to preform social network analysis on the given sociomatrix which is created based on the IDs of classmates and the interaction between them and the detailed rules of creating the matrix are shown in the figure below.

Only three SNA indexes were involved in this assignment, that was: Degree Centrality, Betweenness Centrality, Closeness Centrality. I will introduce the meaning of these indexes below:

1.Degree Centrality: a node’s degree centrality is the total number of a node’s connection. And for directed networks (such as the social network in this assignment), degree is consist of two measures: In-degree and Out-degree. In-degree of a node is the number of connections that point towards the node and Out-degree of a node is the number of connections start from the node and point outward to other nodes.[2] And in this assignment, my In-degree value represents the number of classmates that have left comments below my posts and Out-degree value represents the number of classmates whose posts were commented on by me.

In-degree (right side) and Out-degree (left side) of a node

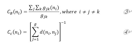
2.Betweenness Centrality: Betweenness centrality measures how important a node is to the shortest paths through the network.[3] The specific calculation formula of a node’s betweenness centrality is shown in Formula③.

3. Closeness Centrality: Closeness centrality of a node is a measure of centrality in a network, it  shows how close this node is to all other nodes and is calculated as the reciprocal of the sum of the length of the shortest paths between the node and all other nodes in the graph.[4] The specific calculation formula of a node’s closeness centrality is shown in Formula④ (for a connected network).

Conclusion

Based on the concepts I explained above, I can now evaluate my class participation by the values of these parameters at the end of the post.

Firstly, the overall sentiment score of the comments I received is 0.035061 (>0) which means that Classmates are generally positive about my posts. I am really happy to hear that news

Secondly, my in-degree value and out-degree value are 7 and 6 respectively. Actually, I don’t think these two numbers are good enough because first of all these two values are not equal which means I did not leave a comment for a classmate who commented on my post. And secondly, I have only interacted with a small group of classmates (7 out of 74), which is not good in this class that promotes interaction with more classmates.

Thirdly, the value of closeness centrality of my node is 0.3915 which is lower than average. As I mentioned above, closeness centrality represents a node’s centrality in the network, thus, the higher closeness centrality of a node is, the closer it is to all other nodes. Obviously, the node that represents me is not at the center of our class social network because I have only interacted with a small proportion of classmates in the class.

Fourthly, the value of betweenness centrality of the node representing me is approximately 0.0079, which I think is a very small value. This still means that I should have interacted with more classmates to get a more central position in the class social network for my node.

To draw a conclusion, my participation in class social media is not high because I have only interacted with 7 out of 74 classmates in the class. But on the other hand, I did learn a lot of useful knowledge in this course. It’s so amazing that social analysis tools enable me to express the feedback I got in the social network and the relationship with other users (nodes, classmates) of the social network in numerical form. Although the teaching is not smooth for various reasons, I am still very happy to choose this class and learn a lot of interesting knowledge.

References

[1]https://en.wikipedia.org/wiki/Social_network_analysis

[2]https://www.sciencedirect.com/topics/computer-science/degree-centrality

[3]https://www.sciencedirect.com/topics/computer-science/betweenness-centrality

[4]https://en.wikipedia.org/wiki/Closeness_centrality

Social Media Analytics in Water Conservation

I have introduced Social Media Analytics (SMA) and the 6th Sustainable Development Goals (SDG) of United Nations–Clear Water and Sanitation in my first and second blogs respectively. And in the post, I will discuss how SMA can be applied to address the 6th SDG I mentioned in my second blog, however, before that, I wanna say something about the role of social media in water conservation first because there is a close connection between this two.

Social Media in Water Conservation

Nowadays, with the continuous development of network and technology and the popularity of mobile phones, the number of people using social media like Instagram, Twitter and Facebook is increasing rapidly.

Naturally, social media has become an important tool for providing the public with space and means to participate in some environmental decisions of governments and corporations and it has also created a way for people to connect local environmental challenges to environmental issues in other regions which can help people find solutions soon. So a lot of environmental organizations and even governments in many countries are now using social media to support environmental campaigns and consult the public on some environmental policies.[1]

Also, social media is a great platform for governments and environmental organizations to promote water conservation knowledge and launch water conservation campaigns because of its huge user base and its spreadable nature. Here are a few examples below:

#CLOSETHETAP SOCIAL MEDIA CAMPAIGN

The ‘Close the Tap‘ campaign was launched by For Love of Water out of Capetown, South Africa in 2012 which aimed to encourage people worldwide to think about the usage of water resources and develop the habit of saving water. Using the social media platforms of Twitter and Facebook, it encourages people to post on Facebook or tweet using the hashtag #CloseTheTap, which will close the real-life running tap using recycled water streamed live on its site.

CloseTheTap campaign

The company hoped to get over 10,000 social media posts so that they can turn the tap off and finally the tap was closed in just 71 days. During that time, Closethetap.com received 20233 visitors, of which 15095 were unique and they spent an average of 3 minutes and 51 seconds on the site where they can learn some impactful water saving tips.[2]

CloseTheTap campaign

The company was not launching this campaign to gain attention and publicity, but to remind people that their efforts do matter and that every bit helps in water conservation, to urge everyone to start with the small things in life and develop a good habit of saving water. This is why it post some water saving tips on its website for people to repost and share.

Leonardo Dicaprio

In addition to environmental organizations, many environmentalists will also post some news about environmental issues and related videos and pictures on social media to call attention to environmental issues.

Leonardo’s post on Instagram

Here I take one of the most famous and my favourite actor–Leonardo Dicaprio as an example, in addition to the actor, he is also an environmentalist in his daily life who attend all kinds of  environmental events regularly and even set up a foundation named after himself to provide financial support to global non-profit environmental protection agencies. Also, on his personal social media, there are almost all posts calling for attention to environmental issues like global climate change, water scarcity and ocean pollution. It’s so admirable that he use his fame, his influence to get people’s attention to environmental issues.

Leonardo’s post on Instagram

So what can SMA contribute to water conservation?

Social Media Analytics in Water Conservation

As social media plays an increasingly important role in public life, SMA has been applied in various fields to promote water conservation. Here are a few applications below:

Water Quality Monitoring

As people pay more and more attention to the water crisis, ensuring the water quality of surface water systems has become an important task. However, traditional water quality monitoring networks require monitoring locations, variables, frequencies and instruments, as well as trained or educated field personnel which means that the establishment of surface water quality monitoring networks in a wide area is very costly.

Let’s take the Mississippi River Basin monitoring network run by US Geological Survey as an example. Currently, it costs between $ 4,000 and $ 6,000 to collect a single sample in the field and analysis of various physical / chemical parameters for each sample can increase the cost by $ 1,500 to $ 2,000, which means the number and sites of the sample are limited. Under this situation, some companies have the space and time to carry out some illegal pollution activities such as illegal sewage discharge.

So now some organizations are starting to combine traditional water quality monitoring networks with social media, in this way, people can help governments or related organizations to monitor water quality in the form of volunteers which can not only reduce costs, but also increase the system capability. In that kind of system, governments and related organizations can get information posted by users on social media such as picture and location. After SMA, the system can provide data support for related environmental policy development. Here’s an example below.

data inTsinghua Environment Monitoring Platform

The Tsinghua Environment Monitoring Platform (TEMP) is a citizen water quality information collection and analysis platform based on WeChat released in 2017. WeChat has a mature public account function for enterprise and organization to interact with the user and a very high popularity in China which means it’s a perfect platform to apply the TEMP in China. In this system, volunteers assess water quality based on their perceptions and the standards provided by the system, while they can also upload photos to provide more information. The geographic location information is also very critical which is provided by the mobile phone’s built-in positioning function or the user enters it by himself. With these information, the related organization can get some useful data after SMA for governments to address water pollution and formulate environmental protection policies.[3]

data inTsinghua Environment Monitoring Platform

Public Disclosure

Geolocation and hashtagson social media platforms such as Instagram and Twitter have provided a way for people to share stories about their local environments while they are able to connect these stories to larger environmental issues.

An example of this was people geotagging images in the 2015 California drought and linking them to the larger context of environmental issues using hashtags like “#drought”, “#globalwarming”, “#califoniadrought”, etc..[4] In this case, the local government can monitor local posts with these tags and put the information of these posts such as location, photo and key words into some SMA process so that the government would be able to find some environmental issues or some illegal pollution activities ASAP and take measures immediately even if it’s just a small issue.

Water Conservation in Daily Life

Also, SMA can help people develop water-saving habits in their daily lives.

There are some interesting Apps that can serve as both social media where you can share your life and some environmental tips with your friends and calculator which can calculate whether your life is environmentally friendly once you enter some necessary parameters. I think that’s also a kind of application of SMA in water conservation. And Here’s an examples below:

Nation Geographic: Water Footprint Calculator was created by people at National Geographic where there are some light-hearted approaches for you to measure your usage across a variety of fields and make a pledge to lower your water consumption. And also you can share your green lifestyle and some water-saving tips with your friends on it.

Interface of Nation Geographic: Water Footprint Calculator

In this technology-developing society, we must use technology to protect resources while using technology to obtain them.

References

[1] https://www.weforum.org/agenda/2016/04/can-social-media-help-to-save-the-environment

[2] https://www.flow.org.za/portfolios/closethetap-social-media-campaign/

[3] Hang Zheng, Yang Hong, Di Long and Hua Jing. Monitoring surface water quality using social media[J]. Hydrol. Earth Syst. Sci., 21, 949–961, 2017.

[4] http://environment.nationalgeographic.com/environment/freshwater/water-footprint-calculator/

CLEAN WATER AND SANITATION

It is known to all that water is the foundation on which human beings live and develop, it is indispensable for food, clothing, and transportation in human life. It is no exaggeration to say that there is no life without water for that water is an indispensable substance in animals and plants and human bodies. Without food, people can live for about two months, but with no water, people can only live for a week or so. In addition, water is an important raw material for both industrial and agricultural production.

However, a lot of us may not know that due to the backward economic or outdated infrastructure, millions of people, most of whom are children, die each year from diseases related to insufficient water supply, sanitation and personal hygiene.

Here, I’m going to discuss something about the sixth goal of the 17 United Nations Sustainable Development Goals–CLEAN WATER AND SANITATION.

Why it matters?

This goal is really meaningful, significant and relevant to you and me and even all human and I will discuss why in the following article.

Present Situation

Here, I will list some relevant data collected from the official website of UN.

Billions of people now face challenges every day in accessing the most basic services, including access to water, sanitation and hygiene.

Lack of Basic Sanitation in some underdeveloped countried

Sources of drinking water used by about 1.8 billion people worldwide (a quarter of the world’s population) are contaminated with feces and about 2.4 billion people (one third of the world’s population) have difficulty accessing basic sanitation services, such as toilets or latrines.

Sewege Discharge

More than 80% of sewage produced by human activities is discharged into rivers or oceans without any treatment, causing pollution.

Moreover, food security, livelihood options and even educational opportunities for some poor families are affected adversely by water resources shortage, poor water quality and inadequate sanitation in some places especially some underdeveloped areas of the world. In some of the poorest countries in the world, people suffer from hunger, malnutrition and some other diseases due to drought.

41 countries were short of water resources, and 10 of them had almost exhausted renewable fresh water resources and had to rely on unconventional water resources in 2011. At the current time, water scarcity affects more than 40% of the world’s population and with climate change and global warming becoming more and more severe in recent years, this figure is predicted to increase in the future. This issue deserves our attention.

Effects we can make

If this issue is properly addressed, we can help a lot of people and even the development of the economy. Here I will list a few effects of this issue.

Water and sanitation-related illnesses continue to be the leading cause of death among children under the age of five; more than 800 children die each day from diarrheal diseases related to poor sanitation. If these children can be provided sufficient clean water and good sanitation, I think the number above may decrease significantly, fewer children would die because of the unclear water and bad sanitation.

we are also able to carry out industrial and agricultural and energy production more efficiently and contribute to economic growth by managing our water resources in a sustainable way. In addition, we can protect aquatic ecosystems and their biodiversity and take steps to address growing climate change.

Actually, we can make far more differences to the world with proper water and sanitation than I list above. Clean water and sanitation are significant factors in a lot of fields such as diet, health, agriculture and industry, which means that to address this issue is a very meaningful and crucial goal for human beings.

The price we would pay if not correct the problem

The costs are huge both for people and for the economy.

More than 2 million people worldwide including a lot of children die each year from diarrheal diseases which are mainly caused by poor sanitation and unsafe drinking water

Ignoring water governance and sanitation can cause severe economic losses. For example,  failure to invest in drinking water and sanitation has led to a 4.3% reduction in GDP in sub-Saharan Africa. The World Bank estimates that India’s GDP has fallen by 6.4% because of the adverse economic impacts and insufficient sanitation.

Millions of people will continue to die each year and there will be further losses in biodiversity and ecosystem resilience without better infrastructure and management which can provide better sanitation and cleaner water resources. weakening prosperity and efforts to achieve a more sustainable future. This will make it more difficult to achieve the goals of a more sustainable future.

Water Pollution

What can we do?

Here I will list some measures which can help achieve this goal.

Strengthening infrastructure construction

At the current time, even in many Chinese rural areas, many people defecate in the open air due to lack of sanitation which would lead to disease transmission and environmental pollution. So it can be imagined that the situation is even worse in many less developed regions such as some parts of Africa. Governments should improve sanitation facilities to provide basic sanitation services for people.

Governments also need to build more sewage treatment facilities to deal with the increasing sewage which will lead to severe water pollution if discharged into rivers or oceans without any treatment.

Strengthening environmental and sanitation awareness

Currently in some areas, especially underdeveloped areas people’s awareness of environmental protection and hygiene is poor which has caused pollution and disease transmission. The outbreak of the new coronavirus in Wuhan is partly due to hygiene and sanitation issues, we must take these issues for serious.

Government should strengthen publicity and education of environmental science knowledge and popularize good personal hygiene habits to make people aware of the importance of water conservation and good hygiene.

Improve water efficiency across industries

Now, due to some unscientific production methods in many industries such as paper industry, textile industry and metal smelting, unnecessary waste of water resources and water pollution have been caused.

The government should formulate and improve water standards to regulate the water behavior of various industries and severely punish some companies that abuse water resources or cause severe water pollution. For various industries, they should adjust the product structure and improve production processes to establish water-saving enterprises.

Protection and restoration of water-related ecosystems

Those water-related ecosystems including mountains, forests, wetlands, rivers, aquifers and lakes provide people with recyclable water resources, but they are being destroyed due to human activities nowadays. We should take the necessary measures to protect them, protect our future.

We should realize that this goal–CLEAN WATER AND SANITATION is not for specific person or specific country but for all human and for the whole earth, so in order to achieve the goal, we need the efforts of each of us. Let’s start with some small things like Turning off the faucet in time and build a better future.

References

[1] https://www.un.org/sustainabledevelopment/water-and-sanitation/

[2]https://greenliving.lovetoknow.com/reasons-protect-conserve-water-resources

通过 WordPress.com 设计一个这样的站点
从这里开始